Sáng nay 27/6, hơn 1,16 triệu sĩ tử trên cả nước tham gia buổi thi cuối cùng của kỳ thi tốt nghiệp THPT 2025 với bài thi 2 môn tự chọn, mỗi môn thi diễn ra trong thời gian 50 phút, theo hình thức trắc nghiệm. Đây là lần đầu tiên hình thức "chọn từng môn thi" thay vì "thi tổ hợp" được áp dụng rộng rãi trong kỳ thi tốt nghiệp THPT, đánh dấu bước đổi mới đáng chú ý trong chương trình GDPT 2018.

Đề các môn tự chọn thi tốt nghiệp THPT 2025 (Tất cả 9 môn)- Ảnh 1.

Sáng nay 27/6, hơn 1,16 triệu sĩ tử trên cả nước tham gia buổi thi cuối cùng của kỳ thi tốt nghiệp THPT 2025.

Theo đó, ngoài hai môn bắt buộc là Ngữ văn và Toán, thí sinh được tự chọn 2 trong số các môn còn lại được học ở lớp 12. Dưới đây là đề thi các môn tự chọn:

NGOẠI NGỮ

Đề các môn tự chọn thi tốt nghiệp THPT 2025 (Tất cả 9 môn)- Ảnh 2.

Ảnh: Tin giáo dục TP. Hồ Chí Minh

Đề các môn tự chọn thi tốt nghiệp THPT 2025 (Tất cả 9 môn)- Ảnh 3.

Ảnh: Tin giáo dục TP. Hồ Chí Minh

Đề các môn tự chọn thi tốt nghiệp THPT 2025 (Tất cả 9 môn)- Ảnh 4.

Ảnh: Tin giáo dục TP. Hồ Chí Minh

LỊCH SỬ

Đề các môn tự chọn thi tốt nghiệp THPT 2025 (Tất cả 9 môn)- Ảnh 5.

Đề các môn tự chọn thi tốt nghiệp THPT 2025 (Tất cả 9 môn)- Ảnh 6.

Đề các môn tự chọn thi tốt nghiệp THPT 2025 (Tất cả 9 môn)- Ảnh 7.

VẬT LÍ

Đề các môn tự chọn thi tốt nghiệp THPT 2025 (Tất cả 9 môn)- Ảnh 8.

Ảnh: Tin giáo dục TP. Hồ Chí Minh

Đề các môn tự chọn thi tốt nghiệp THPT 2025 (Tất cả 9 môn)- Ảnh 9.

Ảnh: Tin giáo dục TP. Hồ Chí Minh

Đề các môn tự chọn thi tốt nghiệp THPT 2025 (Tất cả 9 môn)- Ảnh 10.

Ảnh: Tin giáo dục TP. Hồ Chí Minh

Đề các môn tự chọn thi tốt nghiệp THPT 2025 (Tất cả 9 môn)- Ảnh 11.

Ảnh: Tin giáo dục TP. Hồ Chí Minh

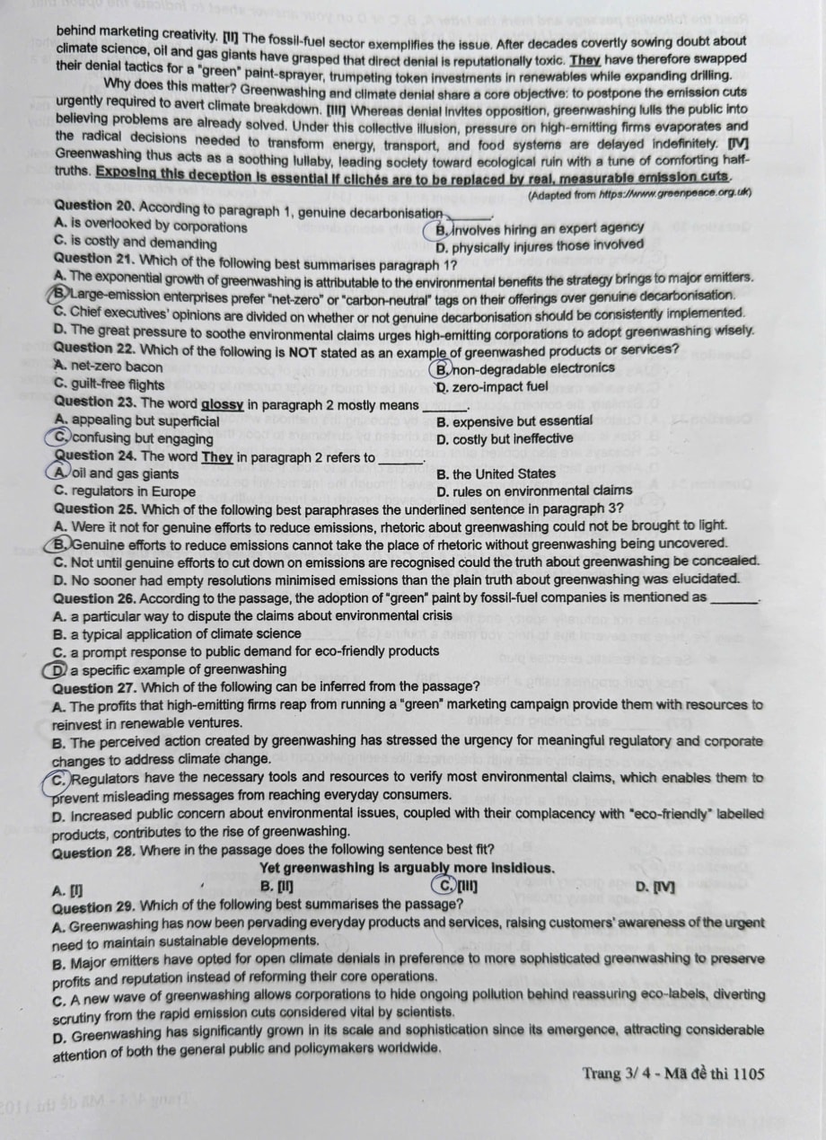
HÓA HỌC

Đề các môn tự chọn thi tốt nghiệp THPT 2025 (Tất cả 9 môn)- Ảnh 12.

Đề các môn tự chọn thi tốt nghiệp THPT 2025 (Tất cả 9 môn)- Ảnh 13.

Đề các môn tự chọn thi tốt nghiệp THPT 2025 (Tất cả 9 môn)- Ảnh 14.

Đề các môn tự chọn thi tốt nghiệp THPT 2025 (Tất cả 9 môn)- Ảnh 15.

SINH HỌC

Đề các môn tự chọn thi tốt nghiệp THPT 2025 (Tất cả 9 môn)- Ảnh 16.

Ảnh: Tiền Phong

Đề các môn tự chọn thi tốt nghiệp THPT 2025 (Tất cả 9 môn)- Ảnh 17.

Ảnh: Tiền Phong

Đề các môn tự chọn thi tốt nghiệp THPT 2025 (Tất cả 9 môn)- Ảnh 18.

Ảnh: Tiền Phong

Đề các môn tự chọn thi tốt nghiệp THPT 2025 (Tất cả 9 môn)- Ảnh 19.

Ảnh: Tiền Phong

ĐỊA LÍ

Đề các môn tự chọn thi tốt nghiệp THPT 2025 (Tất cả 9 môn)- Ảnh 20.

Ảnh: Tuyensinh247.com

Đề các môn tự chọn thi tốt nghiệp THPT 2025 (Tất cả 9 môn)- Ảnh 21.

Ảnh: Tuyensinh247.com

Đề các môn tự chọn thi tốt nghiệp THPT 2025 (Tất cả 9 môn)- Ảnh 22.

Ảnh: Tuyensinh247.com

Đề các môn tự chọn thi tốt nghiệp THPT 2025 (Tất cả 9 môn)- Ảnh 23.

Ảnh: Tuyensinh247.com

GIÁO DỤC KINH TẾ VÀ PHÁP LUẬT

Đề các môn tự chọn thi tốt nghiệp THPT 2025 (Tất cả 9 môn)- Ảnh 24.

Ảnh: Duc Minh Truong Huu

Đề các môn tự chọn thi tốt nghiệp THPT 2025 (Tất cả 9 môn)- Ảnh 25.

Ảnh: Duc Minh Truong Huu

Đề các môn tự chọn thi tốt nghiệp THPT 2025 (Tất cả 9 môn)- Ảnh 26.

Ảnh: Duc Minh Truong Huu

Đề các môn tự chọn thi tốt nghiệp THPT 2025 (Tất cả 9 môn)- Ảnh 27.

Ảnh: Duc Minh Truong Huu

TIN HỌC

Đề các môn tự chọn thi tốt nghiệp THPT 2025 (Tất cả 9 môn)- Ảnh 28.

Ảnh: Minh Đăng

Đề các môn tự chọn thi tốt nghiệp THPT 2025 (Tất cả 9 môn)- Ảnh 29.

Ảnh: Minh Đăng

Đề các môn tự chọn thi tốt nghiệp THPT 2025 (Tất cả 9 môn)- Ảnh 30.

Ảnh: Minh Đăng

Đề các môn tự chọn thi tốt nghiệp THPT 2025 (Tất cả 9 môn)- Ảnh 31.

Ảnh: Minh Đăng

CÔNG NGHỆ

Đề các môn tự chọn thi tốt nghiệp THPT 2025 (Tất cả 9 môn)- Ảnh 32.

Ảnh: Tuổi trẻ

Đề các môn tự chọn thi tốt nghiệp THPT 2025 (Tất cả 9 môn)- Ảnh 33.

Ảnh: Tuổi trẻ

Đề các môn tự chọn thi tốt nghiệp THPT 2025 (Tất cả 9 môn)- Ảnh 34.

Ảnh: Tuổi trẻ

Đề các môn tự chọn thi tốt nghiệp THPT 2025 (Tất cả 9 môn)- Ảnh 35.

Ảnh: Tuổi trẻ

Điểm mới khác là đề thi tốt nghiệp THPT năm 2025 (đối với thí sinh theo học chương trình phổ thông mới) được in trên 1 tờ A3 (in 2 mặt), thay vì in 4-5 tờ A4 như năm 2024. Thời gian giữa 2 môn thi trong bài thi tự chọn/tổ hợp là 15 phút, thay vì 10 phút như năm ngoái.

Thí sinh cũng cần lưu ý, Bộ GD-ĐT đã công bố mẫu mới phiếu trả lời trắc nghiệm dùng ở kỳ thi tốt nghiệp THPT năm 2025. Từ 2025, các môn trắc nghiệm gồm 3 phần câu hỏi.

Phần 1: Trắc nghiệm 4 lựa chọn, chọn 1 đáp án đúng, mỗi câu đúng được 0,25 điểm.

Phần 2: Trắc nghiệm Đúng/Sai gồm 4 ý mỗi câu; đúng 1 ý được 0,1 điểm, đúng 2 ý được 0,25 điểm, đúng 3 ý được 0,5 điểm, đúng cả 4 ý được 1 điểm.

Phần 3: Trắc nghiệm trả lời ngắn, tô vào ô đáp án; với môn Toán, mỗi câu đúng được 0,5 điểm, các môn khác mỗi câu đúng được 0,25 điểm.

Tổng hợp

Đông


Theo: https://kenh14.vn/cap-nhat-de-cac-mon-tu-chon-thi-tot-nghiep-thpt-2025-tat-ca-9-mon-215250627094752364.chn